欢迎访问中国科学院大学学报,今天是

中国科学院大学学报 ›› 2026, Vol. 43 ›› Issue (1): 42-50.DOI: 10.7523/j.ucas.2024.031

• 数学与物理学 • 上一篇    下一篇

竖直磁场下液态金属液滴撞击固壁实验研究

吴曦, 孟旭, 游晨宇, 王增辉()   

  1. 中国科学院大学工程科学学院,北京 100049
  • 收稿日期:2024-01-28 修回日期:2024-04-24 发布日期:2024-05-29
  • 通讯作者: 王增辉
  • 基金资助:
    国家自然科学基金(52376155);中央高校基本科研业务费专项资助

Experimental study of liquid metal droplet impact on solid wall under the vertical magnetic field

Xi WU, Xu MENG, Chenyu YOU, Zenghui WANG()   

  1. College of Engineering,University of Chinese Academy of Sciences,Beijing 100049,China
  • Received:2024-01-28 Revised:2024-04-24 Published:2024-05-29
  • Contact: Zenghui WANG

摘要:

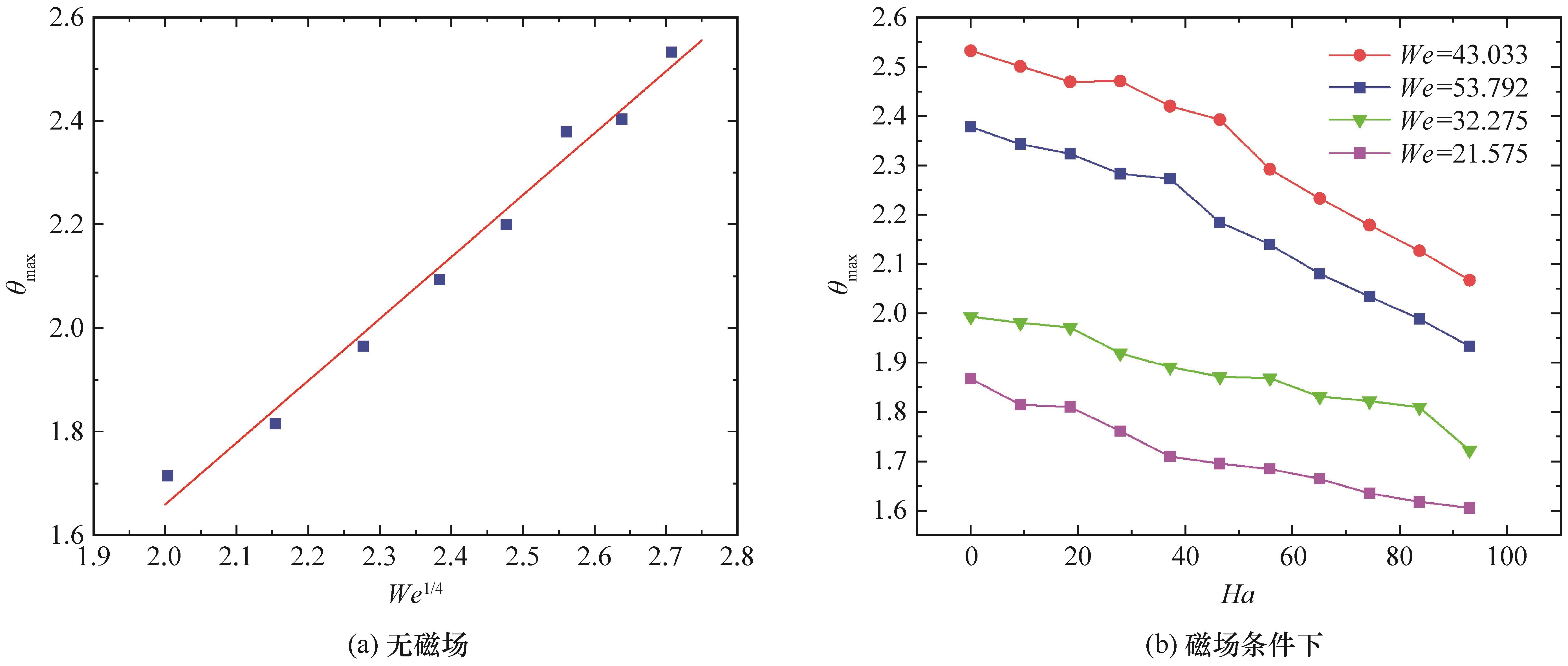
液态金属作为较为高效的热量运输介质在磁约束核聚变装置的设计中十分重要,如何预测强磁场下液态金属撞击凝固规律是其中的一个重要课题。通过高速相机拍摄竖直磁场作用下的镓铟锡液滴撞击金属固壁凝固的现象,本文总结不同底板过冷温度、不同撞击速度以及不同磁感应强度范围的金属液滴撞击铺展、回弹、凝固的特性。底板温度分别为20、-30、-40、-50 ℃,撞击金属底板速度为0.45~1.71 m/s,磁场强度范围为0~1.2 T。实验现象表明,液滴撞击等温壁面和过冷壁面时,最大铺展因子的无量纲标度率均遵循经典理论预测关系式。磁场对液滴回弹高度存在先促进后抑制的非单调影响,进一步推导了磁场作用下的最大铺展因子与N的经验关系式。磁场抑制液滴撞击过冷壁面的液滴分离,并通过减弱高度方向的震荡促进凝固。

关键词: 强磁场, 液态金属, 液滴撞击, 凝固

Abstract:

Liquid metal, as a highly efficient heat transport medium, is very important in the design of magnetic confinement fusion devices. Predicting the solidification law of liquid metal under strong magnetic fields is an important issue. This article uses a high-speed camera to capture the phenomenon of gallium indium tin alloy impacting metal solid walls and solidifying under the action of a vertical magnetic field. Using image processing technology, it summarizes the characteristics of metal droplet impact spreading, rebound, and solidification under different undercooling temperatures, impact velocities, and magnetic induction intensity ranges of the bottom plate. The bottom plate temperature is 20, -30, -40, and -50 ℃, the impact velocity is 0.45-1.71 m/s, and the magnetic field strength range is 0-1.2 T. Experimental phenomena show that when droplets impact isothermal walls and supercooled walls, the dimensionless scaling rate of the maximum spreading factor follows the classical theoretical prediction relationship. The magnetic field initially promotes and then suppresses the rebound height of droplets. The empirical relationship between the maximum spreading factor and N under the action of magnetic field is derived. The magnetic field inhibits the separation of droplets when they hit the supercooled wall, and weakens the oscillation in the height direction to promote solidification.

Key words: strong magnetic field, metal liquid, impact, solidify

中图分类号: